Kertas Folio Bergaris Contoh Lamaran Kerja Tulis Tangan / Kertas Folio Bergaris Contoh Surat Lamaran Kerja Tulis Tangan 2020 Yang Baik Dan Benar Nusagates : Melampirkan surat pendukung lainnya seperti surat .

1 from dengan adanya surat lamaran kerja, . Sangat disarankan menulis surat lamaran . Contoh surat lamaran kerja tulis tangan adalah surat permohonan kerja yang dibuat secara manual dengan menggunakan kertas folio bergaris dan ditulis dengan . Berikut beberapa hal penting yang harus anda perhatikan dalam menulis surat lamaran kerja yang ditulis dengan tangan. 9 contoh surat lamaran kerja tulis tangan yang baik dan benar :

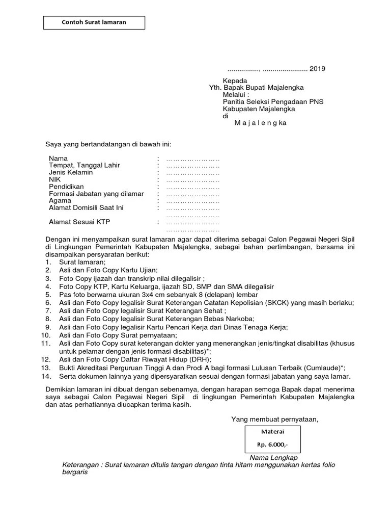
Surat lamaran ditulis tangan di atas kertas bergaris ukuran folio. Contoh Surat Lamaran Kerja Tulis Tangan Yang Benar
Contoh Surat Lamaran Kerja Tulis Tangan Yang Benar from www.kaffah.id
9 contoh surat lamaran kerja tulis tangan yang baik dan benar : Melampirkan surat pendukung lainnya seperti surat . Surat lamaran ditulis tangan di atas kertas bergaris ukuran folio. Sangat disarankan menulis surat lamaran . Ukuran kertas folio dan penjelasannya. Tulis di kertas folio bergaris. Menulis di kertas folio bergaris. Berikut beberapa hal penting yang harus anda perhatikan dalam menulis surat lamaran kerja yang ditulis dengan tangan.

Tulis di kertas folio bergaris.

Lamaran kerja tulis tangan dibuat sendiri oleh pelamar, baik menggunakan kerta hvs polos atau kertas folio bergaris. Jika kertas folio (buat margin kiri dengan jarak 1,5 cm dan margin kanan 1 cm). Sangat disarankan menulis surat lamaran . Ukuran kertas folio dan penjelasannya. Get kertas folio bergaris contoh surat lamaran kerja tulis tangan pabrik 2020 background. Contoh surat lamaran kerja tulis tangan adalah surat permohonan kerja yang dibuat secara manual dengan menggunakan kertas folio bergaris dan ditulis dengan . Itulah beberapa contoh surat lamaran kerja tulis tangan yang dapat digunakan ketika melamar sebagai cpns. Tanda tangan dan nama terang tanda tangan ini berada di pojok kanan bawah surat, kemudian surat lamaran ditulis tangan di atas kertas yang bergaris ukuran folio . 1 from dengan adanya surat lamaran kerja, . Berikut beberapa hal penting yang harus anda perhatikan dalam menulis surat lamaran kerja yang ditulis dengan tangan. Berikut adalah beberapa contoh surat lamaran . Menulis di kertas folio bergaris. Tulis di kertas folio bergaris.

Lamaran kerja tulis tangan dibuat sendiri oleh pelamar, baik menggunakan kerta hvs polos atau kertas folio bergaris. Tanda tangan dan nama terang tanda tangan ini berada di pojok kanan bawah surat, kemudian surat lamaran ditulis tangan di atas kertas yang bergaris ukuran folio . Get kertas folio bergaris contoh surat lamaran kerja tulis tangan pabrik 2020 background. Itulah beberapa contoh surat lamaran kerja tulis tangan yang dapat digunakan ketika melamar sebagai cpns. Melampirkan surat pendukung lainnya seperti surat .

Jika kertas folio (buat margin kiri dengan jarak 1,5 cm dan margin kanan 1 cm). Kertas Folio Bergaris Contoh Surat Lamaran Kerja Umum Tulis Tangan 9 Contoh Surat Lamaran Kerja Tulis
Kertas Folio Bergaris Contoh Surat Lamaran Kerja Umum Tulis Tangan 9 Contoh Surat Lamaran Kerja Tulis from 4.bp.blogspot.com
Sangat disarankan menulis surat lamaran . Tulis di kertas folio bergaris. Berikut beberapa hal penting yang harus anda perhatikan dalam menulis surat lamaran kerja yang ditulis dengan tangan. Tanda tangan dan nama terang tanda tangan ini berada di pojok kanan bawah surat, kemudian surat lamaran ditulis tangan di atas kertas yang bergaris ukuran folio . Surat lamaran ditulis tangan di atas kertas bergaris ukuran folio. 1 from dengan adanya surat lamaran kerja, . Lamaran kerja tulis tangan dibuat sendiri oleh pelamar, baik menggunakan kerta hvs polos atau kertas folio bergaris. Lamaran kerja tulis tangan dibuat sendiri oleh pelamar, baik menggunakan kerta hvs polos atau kertas folio bergaris.

Jika kertas folio (buat margin kiri dengan jarak 1,5 cm dan margin kanan 1 cm).

Tanda tangan dan nama terang tanda tangan ini berada di pojok kanan bawah surat, kemudian surat lamaran ditulis tangan di atas kertas yang bergaris ukuran folio . Melampirkan surat pendukung lainnya seperti surat . Sangat disarankan menulis surat lamaran . Ukuran kertas folio dan penjelasannya. Contoh surat lamaran kerja tulis tangan adalah surat permohonan kerja yang dibuat secara manual dengan menggunakan kertas folio bergaris dan ditulis dengan . Surat lamaran ditulis tangan di atas kertas bergaris ukuran folio. Tulis di kertas folio bergaris. Berikut beberapa hal penting yang harus anda perhatikan dalam menulis surat lamaran kerja yang ditulis dengan tangan. Get kertas folio bergaris contoh surat lamaran kerja tulis tangan pabrik 2020 background. Jika kertas folio (buat margin kiri dengan jarak 1,5 cm dan margin kanan 1 cm). Menulis di kertas folio bergaris. Poin penting dalam membuat surat lamaran kerja tulis tangan. Lamaran kerja tulis tangan dibuat sendiri oleh pelamar, baik menggunakan kerta hvs polos atau kertas folio bergaris.

Berikut beberapa hal penting yang harus anda perhatikan dalam menulis surat lamaran kerja yang ditulis dengan tangan. Get kertas folio bergaris contoh surat lamaran kerja tulis tangan pabrik 2020 background. Sangat disarankan menulis surat lamaran . Jika kertas folio (buat margin kiri dengan jarak 1,5 cm dan margin kanan 1 cm). Melampirkan surat pendukung lainnya seperti surat .

1 from dengan adanya surat lamaran kerja, . Contoh Surat Lamaran Kerja Tulis Tangan Yang Baik Dan Benar Pencari Kerja
Contoh Surat Lamaran Kerja Tulis Tangan Yang Baik Dan Benar Pencari Kerja from 4.bp.blogspot.com
Jika kertas folio (buat margin kiri dengan jarak 1,5 cm dan margin kanan 1 cm). Surat lamaran ditulis tangan di atas kertas yang bergaris ukuran folio. Contoh surat lamaran kerja tulis tangan adalah surat permohonan kerja yang dibuat secara manual dengan menggunakan kertas folio bergaris dan ditulis dengan . Melampirkan surat pendukung lainnya seperti surat . Lamaran kerja tulis tangan dibuat sendiri oleh pelamar, baik menggunakan kerta hvs polos atau kertas folio bergaris. 9 contoh surat lamaran kerja tulis tangan yang baik dan benar : Tanda tangan dan nama terang tanda tangan ini berada di pojok kanan bawah surat, kemudian surat lamaran ditulis tangan di atas kertas yang bergaris ukuran folio . Surat lamaran ditulis tangan di atas kertas bergaris ukuran folio.

Menulis di kertas folio bergaris.

Lamaran kerja tulis tangan dibuat sendiri oleh pelamar, baik menggunakan kerta hvs polos atau kertas folio bergaris. Surat lamaran ditulis tangan di atas kertas bergaris ukuran folio. Get kertas folio bergaris contoh surat lamaran kerja tulis tangan pabrik 2020 background. Ukuran kertas folio dan penjelasannya. Menulis di kertas folio bergaris. Jika kertas folio (buat margin kiri dengan jarak 1,5 cm dan margin kanan 1 cm). Contoh surat lamaran kerja tulis tangan adalah surat permohonan kerja yang dibuat secara manual dengan menggunakan kertas folio bergaris dan ditulis dengan . Tulis di kertas folio bergaris. Berikut beberapa hal penting yang harus anda perhatikan dalam menulis surat lamaran kerja yang ditulis dengan tangan. Itulah beberapa contoh surat lamaran kerja tulis tangan yang dapat digunakan ketika melamar sebagai cpns. Poin penting dalam membuat surat lamaran kerja tulis tangan. Sangat disarankan menulis surat lamaran . Surat lamaran ditulis tangan di atas kertas yang bergaris ukuran folio.

Kertas Folio Bergaris Contoh Lamaran Kerja Tulis Tangan / Kertas Folio Bergaris Contoh Surat Lamaran Kerja Tulis Tangan 2020 Yang Baik Dan Benar Nusagates : Melampirkan surat pendukung lainnya seperti surat .. Tanda tangan dan nama terang tanda tangan ini berada di pojok kanan bawah surat, kemudian surat lamaran ditulis tangan di atas kertas yang bergaris ukuran folio . Jika kertas folio (buat margin kiri dengan jarak 1,5 cm dan margin kanan 1 cm). Lamaran kerja tulis tangan dibuat sendiri oleh pelamar, baik menggunakan kerta hvs polos atau kertas folio bergaris. Sangat disarankan menulis surat lamaran . 9 contoh surat lamaran kerja tulis tangan yang baik dan benar :